第三章 利润率和剩余价值率的关系

  正如在前一章的末尾指出的那样,我们在这里,和在这个第一篇全篇一样,假定一定量的资本所取得的利润额,和这个资本在一定流通期间产生的剩余价值总额相等。因此,我们暂时撇开以下的事实:这个剩余价值一方面分成各种派生形式,即资本利息、地租、赋税等等;另一方面,在多数场合,它和按照一般平均利润率占有的利润是不一致的。关于一般平均利润率,我们将在第二篇加以讨论。

  当利润和剩余价值在数量上被看做相等时,利润的大小和利润率的大小,就由在每个场合已定或可定的单纯数量的关系来决定。因此,首先要在纯粹数学的范围内进行研究。

  我们仍然沿用第一册和第二册的各种符号。总资本C分为不变资本c和可变资本v,生产一个剩余价值m。我们把这个剩余价值和预付可变资本的比率叫做剩余价值率,并且用m′来表示。这样,=m′,因而m=m′v。这个剩余价值如果不是同可变资本相对比,而是同总资本相对比,就叫做利润(p),而剩余价值m和总资本C的比率,就叫做利润率p′。这样我们就得到:

  

  用m的上述的值m′v代替m,我们又得到:

  

  这个方程式也可以用如下的比例来表示:

  p′∶m′=v∶C;

  利润率和剩余价值率之比,等于可变资本和总资本之比。

  从这个比例可以看出,利润率p′总是小于剩余价值率m′,因为可变资本v总是小于C,即v+c之和,可变资本加上不变资本之和;不过要把v=C这种唯一的、但是实际上不可能有的情形除外,也就是要把资本家完全不预付不变资本,不预付生产资料,而只预付工资的情形除外。

  此外,在我们的研究中,还要考虑到一系列对c、v和m的大小有决定性影响的其他因素,因此要简略地提一下这些因素。

  第一是货币的价值。我们可以假定,货币的价值到处都是不变的。

  第二是周转。我们暂时完全不考虑这个因素,因为周转对利润率的影响,我们要在以后的一章中专门进行考察。〔在这里,我们只是先提出一点:公式p′=m′v/C,严格地说,只是对可变资本的一个周转期间来说,才是正确的。但是,如果用年剩余价值率m′n代替简单的剩余价值率m′,这个公式也适用于年周转;在这里,n代表可变资本一年内周转的次数(见第二册第十六章第I节)。——弗·恩·〕

  第三,还要考虑到劳动生产率。劳动生产率对剩余价值率的影响,已经在第一册第四篇详细讨论过了。但它对利润率,至少对单个资本的利润率,也能发生直接的影响,如果像我们在第一册第十章第323/314页44中说过的情形那样,这个单个资本用高于社会平均生产率的生产率来进行工作,按低于同种商品的社会平均价值的价值来提供产品,因而实现一个额外利润。但这个情形在这里仍然不予考虑,因为在这一篇,我们还是假定各种商品是在社会正常的条件下生产,并且按照它们的价值出售的。因此,我们在每一个场合都假定劳动生产率保持不变。事实上,投在一个产业部门的资本的价值构成,也就是可变资本和不变资本的一定比率,总是表示一定程度的劳动生产率。所以,一旦这个比率的变化不是由不变资本的各个物质组成部分的单纯的价值变化或工资的变化引起的,那也就必定表示,劳动生产率已经发生了变化,因此,我们常常可以看到,c、v和m这几个因素的变化同时也包含着劳动生产率的变化。

  其余三个因素,即工作日长度、劳动强度和工资的情况,同样如此。它们对剩余价值量和剩余价值率的影响,我们已在第一册详细论述过了。45因此,很清楚,虽然为了简便起见,我们总是假定这三个因素保持不变,但是v和m的变化同样可以包含着它们的这几个决定要素的量的变化。在这里,我们只是简单地提一下,工资对剩余价值量和剩余价值率的影响,同工作日长度和劳动强度对它们的影响是相反的;工资的增加会减少剩余价值,而工作日的延长和劳动强度的提高则会增加剩余价值。

  例如,假定有一个100的资本,使用20个工人,在他们每天劳动10小时,每周总工资为20的情况下,生产一个20的剩余价值。这样,我们就得到:

  80c+20v+20m;m′=100%,p′=20%。

  假定工作日延长到15小时,但工资不增加。这样,20个工人的总价值产品,就由40增加到60(10∶15=40∶60);因为支付的工资v保持不变,所以剩余价值就由20增加到40。这样,我们就得到:

  80c+20v+40m;m′=200%,p′=40%。

  另一方面,如果每天劳动仍旧是10小时,而工资由20下降到12,那么总价值产品仍旧是40,但分配情况不同了;v减少到12,余下的28就是m。这样,我们就得到:

  

  由此可见,工作日的延长(或劳动强度的相应提高)和工资的降低,都会增加剩余价值量,从而会提高剩余价值率;相反,在其他条件不变的情况下,工资的增加则会降低剩余价值率。所以,如果v因工资的增加而增加,这并不表示劳动量增加了,而只是表示劳动量的报酬更高了;在这个场合,m′和p′就不会提高,而会降低。

  在这里就可以看出,工作日、劳动强度和工资的变化,一定会使v和m以及它们的比率同时发生变化,从而也会使p′,即m和c+v(总资本)的比率同时发生变化。同样很清楚,m和v的比率的变化,也就意味着上述三个劳动条件中至少有一个条件已经发生变化。

  在这里正好可以看出可变资本同总资本的运动及其增殖之间的特殊的有机联系,以及可变资本同不变资本的区别。就价值形成而言,不变资本所以重要,只是在于它具有的价值。在这里,对价值形成来说,1 500镑不变资本究竟是代表1 500吨铁(假定每吨1镑)还是代表500吨铁(每吨3镑),是完全没有关系的。不变资本的价值究竟代表多少实际材料,对价值形成和利润率来说,是完全没有关系的。不变资本价值的增减和这个资本所代表的物质使用价值的量不管成什么比率,利润率同不变资本价值总是按相反的方向变动。

  可变资本的情况就完全不是这样。在这里重要的,首先不是在于可变资本具有的价值,不是在于对象化在可变资本中的劳动,而是在于这个价值只是可变资本所推动的但没有在可变资本中体现的总劳动的指数。这个总劳动和在可变资本本身中体现的劳动即有酬劳动的差额,或者说,总劳动中形成剩余价值的部分,在可变资本本身包含的劳动越小的时候,就越大。假定一个10小时的工作日等于10先令=10马克。如果必要劳动即补偿工资或可变资本的劳动=5小时=5先令,那么,剩余劳动就=5小时,剩余价值就=5先令。如果必要劳动=4小时=4先令,那么,剩余劳动就=6小时,剩余价值就=6先令。

  因此,只要可变资本价值的大小不再是它所推动的劳动量的指数,或者不如说,这个指数的尺度本身已经发生变化,那么,剩余价值率就会随之按相反的方向和相反的比例发生变化。

  现在我们把上述的利润率方程式,应用于各种可能的情况。我们依次变更中各个因素的值,并确定这些变化对利润率的影响。这样,我们就会得到一系列不同的情况。我们可以把这些情况看做同一个资本的依次变化的作用条件,但也可以看做同时并存于不同产业部门或不同国家、为了比较才列在一起的不同的资本。因此,如果把我们所举的某些例子理解为同一个资本在时间上先后出现的状态,这样显得勉强或实际上不可能,那么,只要把它们理解为互相独立的资本在进行比较,这种指责也就可以消除了。

  因此,我们把这个乘积分成两个因素,m′和;我们先把m′当做是不变的,研究的各种可能变化的结果;然后把这个分数当做是不变的,使m′发生各种可能的变化;最后,我们假定一切因素都是可变的,并列举所有的情形,由此推出利润率的各种规律。

  I. m′不变,v可变C

  我们可以为这种情况——它又包含许多派生情况——提出一个总公式。假定有两个资本C和C1,它们的可变组成部分分别为v和v1,剩余价值率同为m′,利润率分别为p′和p′1——这样:

  

  现在使C和C1相比,v和v1相比。例如,假定分数C1/C 之值=E,分数v1/v 之值=e,这样,C1=EC,v1=ev。用所得之值,代替上述p′1方程式中的C1和v1,我们就得到:

  

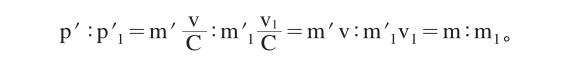
  把上述两个方程式变成比例,我们就可以由这两个方程式引出第二个公式:

  

  因为以同数乘除分子和分母,分数的值不变,所以我们可以把v/C和v1/C1化为百分比,也就是,使C和C1各=100。这样,我们就得到v/C = v/100 和v1/C1= v1/100 ,我们还可以把上述比例中的分母去掉,于是就得到: p′∶p′1=v∶v1;也就是说,

  就任何两个以相同的剩余价值率发生作用的资本来说,利润率之比,等于按各自总资本以百分比计算的可变资本部分之比。

  这两个公式,包含着v/C的变化的一切情况。

  在分别考察这些情况之前,还要指出一点。因为C是c和v即不变资本和可变资本之和,因为剩余价值率和利润率通常都用百分比来表示,所以一般地说,假定c+v之和也为100,也就是用百分比来表示c和v,是比较方便的。在我们不是要确定利润量,而是要确定利润率时,不管是说一个15 000的资本,其中不变资本12 000,可变资本3 000,生产一个3 000的剩余价值,还是把这个资本化为百分比,结果都是一样:

  15 000C=12 000c+3 000v(+3 000m)

  100C= 80c+ 20v(+ 20m)。

  在这两个场合,剩余价值率m′都是=100%,利润率都是=20%。

  当我们拿两个资本作比较时,情况也是如此,例如,我们拿上面那个资本同另一个如下的资本作比较:

  12 000C=10 800c+1 200v(+1 200m)

  100C= 90c+ 10v(+ 10m),

  在这两个场合,m′都是=100%,p′都是=10%,而用百分比的形式来同上面那个资本作比较,结果就清楚得多。

  相反,在我们考察同一个资本的变化时,百分比形式就很少应用,因为这个形式几乎总是把这些变化掩盖起来。如果一个资本由百分比形式

  80c+20v+20m

  变为百分比形式

  90c+10v+10m,

  那么,我们就看不出,这个变化了的百分比构成即90c+10v,是由v的绝对减少引起的,还是由c的绝对增加引起的,还是同时由二者引起的。要看出这一点,我们必须有绝对的数字。而在研究下述的各个变化情况时,整个问题恰恰在于这种变化是怎样发生的,80c+20v变为90c+10v,是由于不变资本增加、可变资本不变,如12 000c+3 000v变为27 000c+3 000v(百分比形式是90c+10v);或者由于不变资本不变、可变资本减少,如12 000c+3 000v变为v(百分比形式也是90c+10v);或者由于二者都发生变化,如12 000c+3 000v变为13 500c+1 500v(百分比形式还是90c+10v)。我们现在正要依次研究这些情况,因此,尽管百分比的形式十分方便,我们只好放弃不用,或者只是把它当做次要的形式来使用。

  1. m′和C不变,v可变

  如果v的大小发生变化,那么C要保持不变,C的另一个组成部分,即不变资本c,就要和v以同额但按相反的方向发生变化。假定C原来=80c+20v=100,现在v减为10,C就只有在c增加到90的时候,才能仍旧=100;90c+10v=100。一般说来,如果v变为v±d,即v加上d或减去d,那么,c就必须变为c±d,即必须以同额但按相反的方向发生变化,这样才能满足当前这种情况的各种条件。

  同样,当剩余价值率m′不变,但可变资本v变化时,剩余价值量m必然发生变化,因为m=m′v,而m′v的一个因素v已有了一个不同的值。

  

  这个场合所假定的各种前提,使我们在原方程式之外,又由v的变化,得到了第二个方程式:

  

  其中v变为v1,现在应当求出由此而引起变化的利润率p′1。这个利润率可以由如下的比例求出:

  

  也就是说,在剩余价值率和总资本不变时,原利润率和由可变资本的变化而产生的利润率之比,等于原可变资本和变化以后的可变资本之比。

  假定资本原来像上面所说的那样是:

  I. 15 000C=12 000c+3 000v(+3 000m);现在是:

  II. 15 000C=13 000c+2 000v(+2 000m);在这两个场合,

  C=15 000,m′=100%,I的利润率20%和II的利润率之比,等于I的可变资本3 000和II的可变资本2 000之比,即=3 000∶2 000。

  可变资本可以增加,也可以减少。我们先拿可变资本增加的例子来说。假定一个资本原来的构成和发生作用的情况如下:

  I. 100c+20v+10m;C=120,m′=50%,p′=

  现在,可变资本增加到30;按照前提,要使总资本保持不变,仍然=120,不变资本必须由100减少到90。所生产的剩余价值,在剩余价值率仍然是50%的情况下,就必须增加到15。因此我们得到:

  II. 90c+30v+15m;C=120,m′=50%,p′=

  我们首先假定工资不变。这时,剩余价值率的其他因素,工作日和劳动强度,也必须保持不变。因此,v的增加(由20增加到30),只能表示所使用的工人人数增加了。这样,总的价值产品也将增加,由30增加到45,分配的情况和以前完全一样,作为工资,作为剩余价值。但在工人人数增加的同时,不变资本即生产资料的价值,却由100减少到90了。于是,我们就看到了一种情况:劳动生产率的降低与不变资本同时减少联系在一起;这种情况在经济上是可能的吗?

  在农业和采掘工业中(在这两个部门,劳动生产率的降低,从而所使用的工人人数的增加,是容易理解的),这个过程——在资本主义生产的范围内和在它的基础上——就不是和不变资本的减少,而是和不变资本的增加联系在一起的。甚至在c的上述那种减少只是由于价格的下降造成时,单个资本也只有在十分例外的情形下才能完成由I到II的转变。但就投在不同国家或不同农业部门或采掘工业部门的两个独立资本来说,一个场合比另一个场合使用更多的工人(从而使用更大的可变资本)同时却使用价值更小或数量更少的生产资料的情况,就不足为奇了。

  但如果我们抛弃工资不变的假定,用工资提高1/2来解释可变资本由20提高到30,那么,情况就完全不同了。同数工人——比如说20个工人——用同量或不过略为减少的生产资料继续工作。如果工作日不变,比如说仍旧是10小时,总价值产品也就不变;它仍旧=30。但这30必须全部用来补偿预付的可变资本30;剩余价值就会消失。可是我们的前提是剩余价值率不变,像I一样仍旧是50%。这只有在工作日延长1/2,即延长到15小时的条件下,才有可能。这时,20个工人在15小时内会生产一个45的总价值,一切条件都满足了:

  

  在这个场合,和I相比,20个工人不会使用更多的劳动资料,即工具、机器等等;只是原料或辅助材料必须增加1/2。因此,在这些材料的价格下降时,按照我们的前提,由I转变到II,甚至对单个资本来说,在经济上也是可能发生的。资本家由于他的不变资本贬值可能遭受的损失,至少会由较大的利润,得到某种程度的补偿。

  现在,我们假定可变资本不是增加,而是减少。这样,我们只需要把上面的例子颠倒过来,把II当做原来的资本,由II转变为I。

  II. 90c+30v+15m变为

  I. 100c+20v+10m,很明显,这种颠倒不会使那些决定双方利润率及其互相关系的条件发生任何变化。如果在不变资本增加时,v因所使用的工人人数减少而由30减少到20,那么,我们在这里就看到了现代工业的正常情况:劳动生产率提高,人数较少的工人使用数量较大的生产资料。这个运动必然和利润率的同时下降联系在一起,关于这一点我们将在本册第三篇加以论述。

  但是,如果v因同数工人按较低的工资被雇用而由30减少到20,那么在工作日不变时,总价值产品会仍旧=30v+15m=45;既然v下降到20,剩余价值就会增加到25,剩余价值率就会由50%增加到125%,而这是和前提相违背的。为了符合我们所规定的条件,按50%的比率计算的剩余价值,相反地必须下降到10,因而总价值产品必须由45减少到30。这只有在工作日缩短的情况下,才有可能。这样,我们得到的结果就和上面一样:

  

  不用说,在工资减少时劳动时间又这样缩短的情况,实际上也许是不会发生的。但这没有什么关系。利润率是许多变数的函数,如果我们要知道这些变数怎样对利润率发生影响,我们就必须依次研究每个变数单独的影响,不管这种孤立的影响对同一资本来说在经济上是不是可能发生。

  2. m′不变,v可变,C因v的变化而变化

  这个场合和上述场合只有程度上的区别。在这个场合,c不是在v增加时以同额减少,或在v减少时以同额增加,而是保持不变。但是,在大工业和农业的目前条件下,可变资本只是总资本的一个比较小的部分,因此,在总资本的减少或增加由可变资本的变化决定时,总资本的减少或增加也是比较小的。我们再从这样一个资本出发:现在假定它变为:与此相反的可变资本减少的情况,又可以由II再转变为I来加以说明。

  

  各种经济条件本质上会和上述场合一样,因此,无须重述。由I到II的转变意味着:劳动生产率降低1/2;为了使用100c,II式所需的劳动比I式多1/2。这种情况在农业中可能发生。(1)

  不过在上述场合,总资本因不变资本转化为可变资本,或可变资本转化为不变资本,而保持不变;而在这里,在可变部分增加时会有追加资本被束缚,在可变部分减少时会有原来使用的资本被游离。

  3. m′和v不变,c可变,因而C也可变

  

  在这个场合,方程式把两边共有的因素去掉,就得到如下的比例:

  

  在剩余价值率相等,可变资本部分也相等时,利润率和总资本成反比。

  例如,假定有三个资本,或同一个资本有三种不同的情况:

  I. 80c+20v+20m;C=100,m′=100%,p′=20%;

  II. 100c+20v+20m;C=120,m′=100%,p′=

  III. 60c+20v+20m;C= 80,m′=100%,p′=25% ;那么就会得到如下的比例:

  20%∶=120∶100;20%∶25%=80∶100。

  关于m′不变时的各种变化,我们前面提出的总公式是:

  p′1=m′;现在它变为:p′1=m′

  因为v没有变化,所以因素e=在这里变为=1。

  因为m′v=m,即剩余价值量,又因为m′和v都保持不变,所以m不会因C的变化而受到影响;剩余价值量在变化以后,和在变化以前一样。

  假定c减为零,p′就会=m′,利润率就会等于剩余价值率。

  c的变化,可能由不变资本的物质要素的单纯价值变化引起,也可能由总资本技术构成的变化,即由该生产部门劳动生产率的变化引起。在后一种情况下,随着大工业和农业的发展而提高的社会劳动生产率,用上面的例子来说,要求按照由III到I,由I到II这样的顺序来转变。一个以20为报酬但生产价值40的劳动量,最初使用了价值60的劳动资料;当生产率提高但价值不变时,所使用的劳动资料起初增加到80,然后增加到100。生产率下降,则引起顺序的相反变化;同量劳动所能推动的生产资料就会减少,生产就会缩减,这种情况可能在农业、采矿业等部门发生。

  不变资本的节约,一方面会提高利润率,另一方面会使资本游离,因此,对资本家来说具有重要的意义。关于这一点以及不变资本要素(特别是原料)价格变动的影响,我们以后(2)还要进行详细的研究。

  在这里又表明,不变资本的变化,不论是由c的物质组成部分的增加或减少引起,还是由c的物质组成部分的单纯价值变化引起,都同样会对利润率发生影响。

  4. m′不变,v、c和C都可变

  

  在这个场合,上述利润率已经变化的总公式也是适用的。在剩余价值率不变时,从这个公式可以得出如下结果:

  (a)如果E大于e,也就是说,如果不变资本的增加,使总资本比可变资本按更大的比率增加,那么,利润率就会下降。如果一个80c+20v+20m的资本变为170c+30v+30m的构成,那么m′仍旧=100%,尽管v和C都增加了,但C/v会由20/100降低到30/200,利润率也就会相应地由20%降低到15%。

  (b)只有e=E,也就是说,只有v/C这个分数在表面上发生变化,但其值不变,也就是说,只有分子和分母以同数乘除,利润率才会保持不变。80c+20v+20m和160c+40v+40m二者的利润率显然都是20%,因为m′仍然=100%,而v/C=20/100=40/200在这两个例子中,都代表相等的值。

  (c)如果e大于E,也就是说,如果可变资本比总资本按更大的比率增加,利润率就会提高。如果80c+20v+20m变为120c+ 40v+40m,利润率就会由20%增加到25%,因为在m′不变时,已经提高到,由提高到

  如果v和C按相同的方向变化,我们就可以这样来看待这种量的变化,即二者达到一定点时,按相同的比率变化,在这个点上,保持不变。超过这一点,二者之中仿佛就只有一个发生变化。这样,我们就可以把这种较为复杂的情况化为上述一种较为简单的情况。

  例如,如果80c+20v+20m变为100c+30v+30m,那么,只要这种变化达到100c+25v+25m这一点时,v和c,从而v和C的比率,就会保持不变。因此在这一点上,利润率也会保持不变。我们现在可以把100c+25v+25m当做出发点;我们使v增加5,即增加到30v,C也就由125增加到130,这样我们就得到上述的第二种情况,即只有v的变化以及由此引起的C的变化。利润率原来是20%,在剩余价值率不变的情况下由于增加了5v,现在就提高到%了。

  甚至在v和C按相反的方向在数量上发生变化时,我们同样可以把它化为一个较为简单的情况。例如,我们再从80c+20v+20m出发,使它变为110c+10v+10m的形式,而当变化为40c+10v+10m这一点时,利润率会仍旧是20%。把70c加到这个中间形式中去,利润率就会下降到。这样,我们也就把这个情况再化为仿佛只有一个变数c变化的情况了。

  因此,v、c和C同时发生变化的情况,没有提出任何新的观点。它最后总是化为只有一个因素可变的情况。

  还有一个情况,就是v和C在数字上还是和以前一样大,但它们的物质要素发生了价值变化,因此v所代表的,是被推动的劳动的已经变化了的量,c所代表的,是被推动的生产资料的已经变化了的量。但甚至这个唯一剩下的情况,实际上也已经包括在上述范围内了。

  假定80c+20v+20m中,20v原来代表20个工人每天10小时劳动的工资。现在,假定每个人的工资由1增加到1(1/4)。这样,20v已经不能支付20个工人的报酬,而只能支付16个工人的报酬。但是,20个工人在200个劳动小时内会生产40的价值,而16个工人在每天10小时内,也就是在总共160个劳动小时内,将只生产32的价值。扣除20v作为工资,在32的价值中,就只剩下12作为剩余价值;剩余价值率就会由100%降低到60%。但是按照我们的前提,剩余价值率必须保持不变,因此工作日必须延长1/4,即由10小时延长到12(1/2)小时;20个工人在每天10小时内,即在200个劳动小时内会生产40的价值,16个工人在每天12(1/2)小时内,即在200小时内,也会生产相同的价值,80c+20v的资本,现在也和以前一样,会生产20的剩余价值。

  反过来,如果工资降低,20v可以支付30个工人的工资,那么,m′要保持不变,工作日就要由10小时缩短到6(2/3)小时。20×10=30× 6(2/3)=200个劳动小时。

  至于在这些相反的假定下,c究竟在什么程度以内可以在其价值的货币表现上保持不变,但又能代表随着情况的变化而变化了的生产资料量,我们实质上在前面已经解释过了。这种情况只有在极其例外的场合,才可能以纯粹的形式出现。

  至于c的各种要素的价值变化会增加或减少这些要素的量,但不会影响c的价值额这种情况,那么,只要这种变化不会引起v的数量变化,它就既不会影响利润率,也不会影响剩余价值率。

  至此,我们已经把我们方程式中v、c和C各种可能的变化情况都列举出来了。我们看到,在剩余价值率保持不变时,利润率可以降低,不变,或提高,因为v和c或v和C的比率稍微发生变化,就足以使利润率也发生变化。

  其次,我们看到,v的变化到处都有一个界限,这个界限一经达到,m′要保持不变,就会成为经济上不可能的事情。因为c的每一个单方面的变化,也必然会达到一个界限,这个界限一经达到,v就不能再保持不变,所以对一切可能的变化来说,都有一个界限,超过这个界限,m′也就必然会变为可变。在m′变化时,我们方程式中各个变数的这种互相作用,还会更清楚地显示出来。我们现在就来研究m′的各种变化。

  II. m′可变

  

  如果把方程式变为另一个方程式其中p′1、m′1、v1和C1表示p′、m′、v和C的变化了的值,那么,我们就为各种不同剩余价值率下的利润率,求得一个总公式,而不管是不变的,或同样是可变的。这样,我们就得到:

  

  由此得到:

  

  在这个场合,我们有两个方程式:

  

  在这两个方程式中,v/C是等值的。因而可以得出如下比例:

  

  具有相同构成的两个资本的利润率之比,等于它们的剩余价值率之比。因为在v/C这个分数中,重要的不是v和C的绝对量,而只是二者的比率,所以,这适用于具有相同构成的一切资本,而不管它们的绝对量如何。

  80c+20v+20m;C=100,m′=100%,p′=20%

  160c+40v+20m;C=200,m′= 50%,p′=10%

  100%∶50%=20%∶10%。

  如果v和C的绝对量在两个场合是相等的,利润率还和剩余价值量成正比。

  p′∶p′1=m′v∶m′1v=m∶m1。

  例如:

  80c+20v+20m;m′=100%,p′=20%

  80c+20v+10m;m′= 50%,p′=10%

  20%∶10%=100×20∶50×20=20m∶10m。

  现在很清楚,就构成的绝对数或百分比相同的资本来说,剩余价值率只有在工资或工作日长度或劳动强度不等的情况下,才能是不等的。假定有三种情况:

  I. 80c+20v+10m;m′= 50%,p′=10%,

  II. 80c+20v+20m;m′=100%,p′=20%,

  III. 80c+20v+40m;m′=200%,p′=40%,

  总价值产品在I式是30(20v+10m),在II式是40,在III式是60。这种情形可以由三种方式引起。

  第一,工资不等,因而20v在各个场合表示不同的工人人数。假定在I式是按镑的工资雇用15个工人劳动10小时,生产30镑价值,其中20镑补偿工资,10镑是剩余价值。如果工资降低到1镑,就可以雇用20个工人劳动10小时,因此生产40镑的价值,其中20镑补偿工资,20镑是剩余价值。如果工资再降低到镑,就可以雇用30个工人劳动10小时,生产60镑的价值,其中除去20镑工资,还剩下40镑剩余价值。

  在这个场合,资本的百分比构成不变,工作日不变,劳动强度不变,但剩余价值率因工资变化而变化了。只有这个唯一的场合才符合李嘉图的如下假定:

  “利润的高低恰好和工资的高低成反比。”(《政治经济学原理》,载于麦克库洛赫编《李嘉图全集》1852年版第1章第3节第18页)

  第二,劳动强度不等。这时,比如说20个工人用相同的劳动资料,在每天10个劳动小时内生产的某种商品,在I式是30件,在II式是40件,在III式是60件。每件商品除了耗费在其中的生产资料的价值,都体现着1镑的新价值。因为在每个场合都要有20件商品=20镑来补偿工资,所以剩余价值在I式是10件商品=10镑,在II式是20件商品=20镑,在III式是40件商品=40镑。

  第三,工作日长度不等。如果20个工人在劳动强度相同的情况下,在I式每天劳动9小时,在II式每天劳动12小时,在III式每天劳动18小时,那么,它们的总产品之比30∶40∶60,就等于9∶12∶18,而且,因为工资在每个场合都=20,所以剩余价值又分别是10,20 和40。

  可见,工资的提高或降低会以相反的方向,劳动强度的提高或降低和工作日的延长或缩短会以相同的方向,影响剩余价值率,从而在v/C不变时,影响利润率。

  2. m′和v可变,C不变

  在这个场合,下面的比例也是适用的:

  

  利润率之比,等于相应的剩余价值量之比。

  在可变资本不变时,剩余价值率的变化,意味着价值产品在数量上和分配上发生了变化。v和m′同时变化,也总是包含价值产品分配上的变化,但并不总是包含价值产品数量上的变化。这里可能有三种情况:

  (a)v和m′按照相反的方向,但是以相等的数量发生变化;例如:

  80c+20v+10m;m′= 50%,p′=10%

  90c+10v+20m;m′=200%,p′=20%。

  在这两个场合,价值产品是相等的,因而,提供的劳动量也是相等的;20v+10m=10v+20m=30。区别只是在于:在前一个场合,20作为工资支付,10是剩余价值;而在后一场合,工资只有10,因而剩余价值是20。这是当v和m′同时发生变化时,工人人数、劳动强度和工作日长度都保持不变的唯一场合。

  (b)m′和v也按照相反的方向,但不是以相等的数量发生变化。这时,或者是v的变化占优势,或者是m′的变化占优势。

  I. 80c+20v+20m;m′=100%, p′=20%

  II. 72c+28v+20m;m′=,p′=20%

  III. 84c+16v+20m;m′=125%, p′=20%。

  在I的价值产品40中,有20v支付工资;在II的价值产品48中,有28v支付工资;在III的价值产品36中,有16v支付工资。价值产品和工资都变化了;但是,价值产品的变化,意味着提供的劳动量的变化,因而,或者是工人人数的变化,或者是劳动持续时间的变化,或者是劳动强度的变化,或者是三项中一项以上的变化。

  (c)m′和v按照相同的方向发生变化;这时,一种变化会加强另一种变化的影响。

  90c+10v+10m;m′=100%,p′=10%

  80c+20v+30m;m′=150%,p′=30%

  92c+ 8v+ 6m;m′= 75%,p′= 6%。

  在这里,三个价值产品也是不同的,即20、50和14;而每个场合的劳动量大小上的这种差别,又可以化为工人人数、劳动持续时间或劳动强度的差别,或者化为一个以上的因素或所有这些因素上的差别。

  3. m′、v和C都可变

  这个场合不会提供任何新的观点,可以用II即m′可变这一节中求得的总公式来解决。

  可见,剩余价值率大小的变化对于利润率的影响,会产生下列各种情形:

  1. 如果v/C不变,那么p′和m′会按照相同的比率提高或降低。

  

  2. 如果v/C和m′按照相同的方向变化,即m′提高,v/C也提高,m′降低,v/C也降低,那么p′会比m′按照更大的比率提高或降低。

  

  3. 如果v/C和m′按照相反的方向,但是v/C比m′按照更小的比率变化,那么p′会比m′按照更小的比率提高或降低。

  

  4. 如果v/C和m′按照相反的方向,但是v/C比m′按照更大的比率变化,那么,尽管m′降低,p′还是会提高,或者尽管m′提高,p′还是会降低。

  

  m′由100%提高到150%;p′由20%降低到15%。

  5. 最后,如果和m′按照相反的方向,但是恰好按照相同的比率在大小上发生变化,那么,尽管m′提高或降低,p′还是会保持不变。

  只有最后这个情况还需要作一些解释。前面在论述的变化时,我们看到,同一个剩余价值率可以表现为极不相同的利润率,而在这里我们看到,同一个利润率可以以极不相同的剩余价值率为基础。但是在m′不变时,v和C的比率上的任何一种变化,都足以引起利润率的差别,而在m′发生大小上的变化时,就必须以恰好相应的程度,按照相反的方向发生大小上的变化,才能使利润率保持不变。这种情形,就同一个资本或同一国家的两个资本来说,只有在非常例外的情况下才是可能的。例如,有一个资本

  80c+20v+20m;C=100,m′=100%,p′=20%,

  假定工资下降,现在只需要16v而不需要20v就可以雇到同数工人。这时,就有4v游离出来,在其他条件不变的情况下,我们就得到:

  80c+16v+24m;C=96,m′=150%,p′=25%。

  现在p′要和以前一样=20%,总资本就必须增加到120,从而不变资本就必须增加到104:

  104c+16v+24m;C=120,m′=150%,p′=20%。

  这种情形,只有在劳动生产率随着工资下降而同时发生变化,因而要求资本构成发生这样一种变化的时候,或者在不变资本的货币价值由80增加到104的时候,总之,只有在各种条件仅仅在例外的情况下偶然结合在一起的时候,才是可能的。事实上,m′发生变化,但不同时引起v的变化,因而也不引起的变化,这种情形只有在十分特定的情况下,即只有在那些仅仅使用固定资本和劳动,而劳动对象则由自然界提供的产业部门,才是可以设想的。

  但是把两个国家的利润率作比较时,情况就不同了。在这个场合,相同的利润率,实际上多半表现不同的剩余价值率。

  因此,从所有以上五种情况可以得出结论:剩余价值率降低或者提高,利润率可以提高;剩余价值率提高或者降低,利润率可以降低;剩余价值率提高或者降低,利润率可以不变。至于剩余价值率不变,利润率也可以提高、降低或者不变,这一点我们在第I节已经讲过了。

  可见,利润率取决于两个主要因素:剩余价值率和资本的价值构成。这两个因素的影响,可以概括如下。在这里,我们可以用百分比来表示资本的构成,因为变化发生在两个资本部分中的哪一个部分,在这里是无关紧要的。

  两个资本的利润率或同一个资本在两个连续的、不同的状态下的利润率,

  在下列情况下,是相等的:

  1. 资本的百分比构成相等,剩余价值率也相等。

  2. 资本的百分比构成不等,剩余价值率也不等,但是剩余价值率和按百分比计算的可变资本部分(m′和v)的乘积相等,也就是说,按总资本以百分比计算的剩余价值量(m=m′v)相等,换句话说,在这两个场合m′和v两个因素互成反比。

  在下列的情况下,是不等的:

  1. 资本的百分比构成相等,但是剩余价值率不等。这时,利润率之比,等于剩余价值率之比。

  2. 剩余价值率相等,资本的百分比构成不等。这时,利润率之比,等于可变资本部分之比。

  3. 剩余价值率不等,资本的百分比构成也不等。这时,利润率之比,等于m′v的乘积即按总资本的百分比计算的剩余价值量之比。(3)

(1) 手稿中这里有一句话:“以后再来研究这种情况同地租有什么联系。”
(2) 见本卷第91—153页。——编者注
(3) 在手稿中,关于剩余价值率和利润率的差数(m′-p′),还可以看到各种极为详细的计算。这种差数具有各式各样的有趣的特色,它的运动显示出这两个比率相距越来越远或越来越近的各种情况。这些运动还可以用曲线来表示。我没有把这个资料编入,因为它对本书的直接目的不怎么重要,对那些想进一步研究这个问题的读者来说,简单地指出这一点也就够了。——弗·恩·
44  见《马克思恩格斯文集》第5卷第368—371页。——59。
45  见《马克思恩格斯文集》第5卷第593—606页。——60。